Increasing Glucose Yield from Cellulose in Ground Corn Using Plant-Made Recombinant Cellulases

Authors:

Enio R. Duque, Elizabeth E. Hood

Affiliation:

Research & Development, GreenLab, Inc., Jonesboro, Arkansas, USA

Project Image

Description:

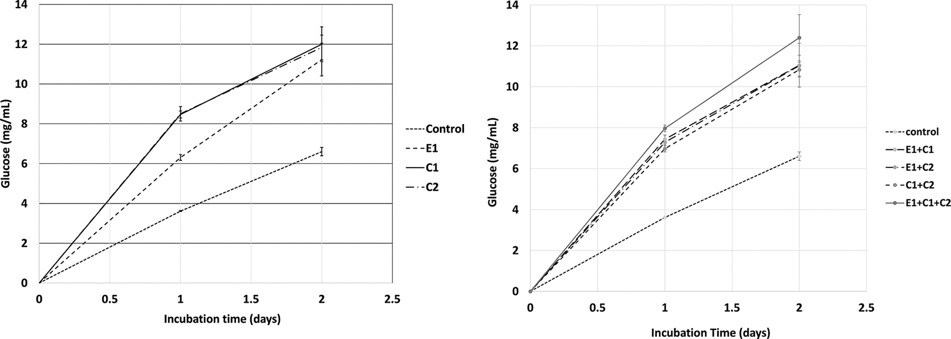
First-generation ethanol has been produced from starchderived glucose for more than 40 years. Second-generation biofuels, which utilize alternative feedstocks such as lignocellulose, offer a sustainable way to expand biofuel production. When combined, these approaches are termed ' generation 1.5, ' as they integrate biofuel production from both starch and cellulose. Whole corn is * 15% cellulose and 62% starch. The biomass remaining after dry ground corn is processed for ethanol from the starch (mash) consists primarily of 21.2% glucan, of which 16.0% is cellulose and 5.2% is starch on a dry mass basis. Further important components comprise hemicellulose at 13.5% of the dry mass as well as crude protein (24.9%) and crude oil (11.6%). Utilizing the cellulose component to gain additional glucose could signi /uniFB01 cantly improve the pro /uniFB01 t margin of corn ethanol production. In these experiments, we utilized recombinant cellulases produced in corn kernels, including an endocellulase (E1 from Acidothermus cellulolyticus ) and two exocellulases (CBH I and CBH II from Trichoderma reesei ) to release glucose from the cellulosic component. These cellulases were added to ground corn /uniFB02 our at different ratios, with the optimal ratio determined to be 1:20:5 (E1:CBH I:CBH II) based on activity units, plus an external b -glucosidase (BG), resulting in the release of 10 -16% additional glucose on a dry mass basis, near the maximum achievable. Incubation times ranged from 16 to 24 hours at 50 /C176 C, with periodic sampling conducted. The reaction was determined to be complete when the glucose content remained constant, showing no further increase. Three external BGs were tested for the reduction of short-chain oligomers to glucose. The recombinant cellulases produced in corn have a low cost of goods compared with fermentation, and a difference in the pro /uniFB01 tability of the ethanol industry is discussed.

Publications:

Tags:

Biopolymers Carbohydrates Cellulose Peptides and proteins

Related Chronicles:

Synthesis and Characterization of Multi-Reducing-End Polysaccharides

Lectin Fingerprinting Distinguishes Antibody Neutralization in SARS-CoV‑2

Chitosan as a Canvas for Studies of Macromolecular Controls on CaCO3 Biological Crystallization

Activities of Family 18 Chitinases on Amorphous Regenerated Chitin Thin Films and Dissolved Chitin Oligosaccharides: Comparison with Family 19 Chitinases

Systematic synthesis of bisected N-glycans and unique recognitions by glycan-binding proteins

Identification of a family of peptidoglycan transpeptidases reveals that Clostridioides difficile requires noncanonical cross-links for viability

Kinetics of Calcite Nucleation onto Sulfated Chitosan Derivatives and Implications for Water−Polysaccharide Interactions during Crystallization of Sparingly Soluble Salts

Ethyl cellulose-block-poly(benzyl glutamate) block copolymer compatibilizers for ethyl cellulose/poly(ethylene terephthalate) blends

All-polysaccharide, self-healing, pH-sensitive, in situ-forming hydrogel of carboxymethyl chitosan and aldehyde-functionalized hydroxyethyl cellulose

Chlorination of hydroxyethyl cellulose enables selective functionalization

Polyproline peptide targets Klebsiella pneumoniae polysaccharides to collapse biofilms

Probing the Role of Protein Conformational Changes in the Mechanism of Prenylated-FMN-dependent Phenazine-1-carboxylic Acid Decarboxylase

Insights into the electronic and structural properties of cellulose and amylose: A comparative force field study

Aggregation of functional groups leads to unexpected lowering of PNIPAM LCST

Anti-lung cancer activities of polysaccharides from Laminaria japonica: Network pharmacology and structural insights

Applying a polysaccharide lyase from Stenotrophomonas maltophilia to disrupt alginate exopolysaccharide produced by Pseudomonas aeruginosa clinical isolates

Is AMOEBA a Good Force Field for Molecular Dynamics Simulations of Carbohydrates?

Ethyl cellulose-block-poly(benzyl glutamate) block copolymer compatibilizers for ethyl cellulose/poly(ethylene terephthalate) blends


Files:

No related files available